Link zur Hauptseite des Forums

LotharGehlhaar - Teichbauforum

DAS informative Forum der Koi-Szene
Link zur Enzyklopaedie
Aktuelle Zeit: So 03.Mai 2026 17:01

Alle Zeiten sind UTC + 1 Stunde




Ein neues Thema erstellen Auf das Thema antworten  [ 1467 Beiträge ]  Gehe zu Seite Vorherige  1 ... 110, 111, 112, 113, 114, 115, 116 ... 147  Nächste
Autor Nachricht
 Betreff des Beitrags: Re: Luftheber, energiesparend
BeitragVerfasst: Mo 06.Jun 2016 15:56 
Offline
Realer User
Realer User
Benutzeravatar

Registriert: Fr 02.Sep 2011 11:29
Cash on hand:
1.567,40 Taler

Beiträge: 1949
Wohnort: 86xxx
Doppel Luftheber - I like ;-)


Nach oben
 Profil userposition on geomap  
 
 Betreff des Beitrags: Re: Luftheber, energiesparend
BeitragVerfasst: Mi 15.Jun 2016 20:25 
Offline
Anonymer User

Registriert: Do 23.Apr 2015 19:02
Cash on hand:
58,20 Taler

Beiträge: 12
Kurze Frage an die Luftheber Experten.

Ich möchte einen Luftheber in meinem Regentonnenfilter integrieren. Bei einem Luftheber muss ja immer das Verhältnis vom Rohrdurchmesser zur Steigrohrlänge passen. Geplant ist mit dem Luftheber nach der zweiten Kammer das Helix zu bewegen. Ich bräuchte einen Durchfluss von ca. 15000 Liter

Was ist besser bei Regentonnen, habe 3 Varianten im Kopf die ich mit einer V60 betreiben möchte.

Variante 1:
2 Luftheber, DN70, Tschechische Druckdose, Steigrohrlänge 80 cm, 5 cm unter Wasserspiegel in die Tonne

Variante 2:
1 Luftheber, DN110, Tschechische Druckdose, Steigrohrlänge 80 cm, 5 cm unter Wasserspiegel in die Tonne

Variante 3:
1 Luftheber, DN110, Tschechische Druckdose, Steigrohrlänge 130 cm, 5 cm unter Wasserspiegel in die Tonne, von der Tonne aus einen 125er Auslauf nach unten in den Boden und dann mit dem 110 er Rohr nach oben.

Welche Variante ist für Regentonnen am besten geeignet oder gibt es noch andere Ideen?


Nach oben
 Profil userposition on geomap  
 
 Betreff des Beitrags: Re: Luftheber, energiesparend
BeitragVerfasst: Mi 15.Jun 2016 20:29 
Offline
Konstrukteur Teichtechnik
Konstrukteur Teichtechnik
Benutzeravatar

Registriert: Do 20.Apr 2006 11:32
Cash on hand:
197,23 Taler

Beiträge: 12734
Das ist alles nichts. Bei 80 cm Steigrohr nimmst Du lieber eine Pumpe.

Gruß,
Frank

_________________
Koifutter pondware Pure


Nach oben
 Profil userposition on geomap  
 
 Betreff des Beitrags: Re: Luftheber, energiesparend
BeitragVerfasst: Mi 15.Jun 2016 20:39 
Offline
Anonymer User

Registriert: Do 23.Apr 2015 19:02
Cash on hand:
58,20 Taler

Beiträge: 12
Und die letzte Variante?


Nach oben
 Profil userposition on geomap  
 
 Betreff des Beitrags: Re: Luftheber, energiesparend
BeitragVerfasst: Mi 15.Jun 2016 20:51 
Offline
Konstrukteur Teichtechnik
Konstrukteur Teichtechnik
Benutzeravatar

Registriert: Do 20.Apr 2006 11:32
Cash on hand:
197,23 Taler

Beiträge: 12734
Kannst Du probieren. Wo geht das letzte Rohr nach oben hin?

Gruß,
Frank

_________________
Koifutter pondware Pure


Nach oben
 Profil userposition on geomap  
 
 Betreff des Beitrags: Re: Luftheber, energiesparend
BeitragVerfasst: Mi 15.Jun 2016 20:59 
Offline
Anonymer User

Registriert: Do 23.Apr 2015 19:02
Cash on hand:
58,20 Taler

Beiträge: 12
Ich würde das in die Regentonne mit Helix machen, dann wäre das Helix gleich bewegt und belüftet oder geht das nicht so einfach?


Nach oben
 Profil userposition on geomap  
 
 Betreff des Beitrags: Re: Luftheber, energiesparend
BeitragVerfasst: Mi 15.Jun 2016 21:44 
Offline
Konstrukteur Teichtechnik
Konstrukteur Teichtechnik
Benutzeravatar

Registriert: Do 20.Apr 2006 11:32
Cash on hand:
197,23 Taler

Beiträge: 12734
Das geht. Dann von der Helixtonne in den Teich.

Gruß,
Frank

_________________
Koifutter pondware Pure


Nach oben
 Profil userposition on geomap  
 
 Betreff des Beitrags: Werbung, um Taler einzunehmen
Verfasst: So 03.Mai 2026 17:01 
Online
Expertin
Benutzeravatar

Registriert: Mo 05.Dez 2005 19:01
Cash on hand:
immer zu wenige Taler

Beiträge: nur ein paar
Wohnort: Koi-Schnack
Anzeige:

_________________
Wenn du einen Monat lang ein werbefreies Forum willst, klicke hier und überweise mir 100 Taler!
Wenn du mich im Koi-Schnack etwas fragen möchtest, klicke hier!


Nach oben
 Profil Private Nachricht senden  
 
 Betreff des Beitrags: Re: Luftheber, energiesparend
BeitragVerfasst: Fr 16.Sep 2016 16:03 
Offline
Konstrukteur Teichtechnik
Konstrukteur Teichtechnik
Benutzeravatar

Registriert: Do 20.Apr 2006 11:32
Cash on hand:
197,23 Taler

Beiträge: 12734
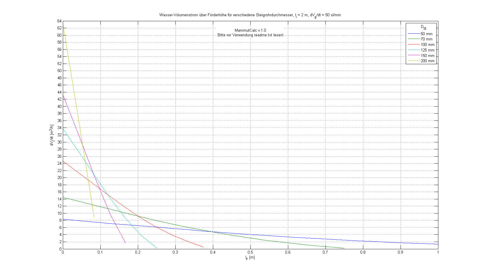
Hier sieht man schön das Zusammenspiel von Steigrohrdurchmesser, Steigrohrlänge, Luftmenge, Umwälzrate und Förderhöhe:

Dateianhang:
2_50.png
2_50.png [ 25.24 KiB | 2829-mal betrachtet ]
2 m Steigrohrlänge und 50 l/min Luft

Dateianhang:
2_200.png
2_200.png [ 28.38 KiB | 2810-mal betrachtet ]
2 m Steigrohrlänge und 200 l/min Luft

Dateianhang:
3,5_200.png
3,5_200.png [ 28.75 KiB | 2810-mal betrachtet ]
3,5 m Steigrohrlänge und 200 l/min Luft

Danke an 'kaktus018' für die Ausarbeitung.

Gruß,
Frank

_________________
Koifutter pondware Pure


Nach oben
 Profil userposition on geomap  
 
 Betreff des Beitrags: Re: Luftheber, energiesparend
BeitragVerfasst: Fr 16.Sep 2016 19:31 
Offline
Realer User
Realer User

Registriert: Mo 08.Feb 2016 9:35
Cash on hand:
1.044,10 Taler

Beiträge: 252
Wohnort: Berlin
Hallo Frank,

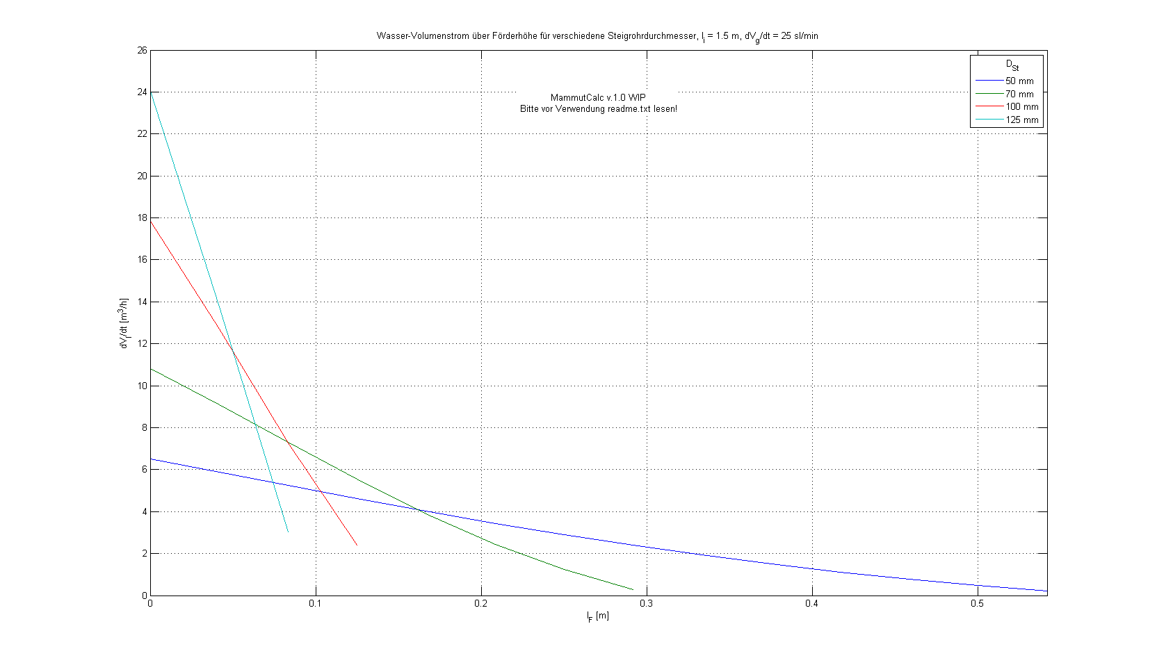
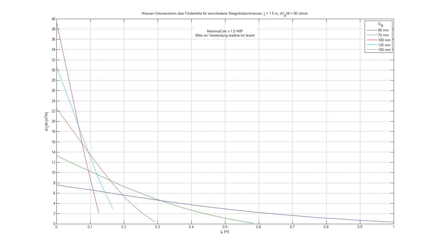
da hast du ja richtig schöne Diagramme rein gestellt. Vielen Dank, die gefallen mir sehr. Hast du auch Diagramme für die Geizkragen unter uns mit sagen wir einmal 20/30/40 Liter Luft bei 1,5 m Einblastiefe?

_________________
Viele Grüße

Andreas


Nach oben
 Profil userposition on geomap  
 
 Betreff des Beitrags: Re: Luftheber, energiesparend
BeitragVerfasst: Fr 16.Sep 2016 20:21 
Offline
Konstrukteur Teichtechnik
Konstrukteur Teichtechnik
Benutzeravatar

Registriert: Do 20.Apr 2006 11:32
Cash on hand:
197,23 Taler

Beiträge: 12734
Dateianhang:
1,5_25.png
1,5_25.png [ 19.42 KiB | 2734-mal betrachtet ]
1,5m Steigrohr, 25 l/min

Dateianhang:
1,5_50.png
1,5_50.png [ 23.46 KiB | 2734-mal betrachtet ]
1,5m Steigrohr, 50 l/min

Gruß,
Frank

_________________
Koifutter pondware Pure


Nach oben
 Profil userposition on geomap  
 
Beiträge der letzten Zeit anzeigen:  Sortiere nach  
Ein neues Thema erstellen Auf das Thema antworten  [ 1467 Beiträge ]  Gehe zu Seite Vorherige  1 ... 110, 111, 112, 113, 114, 115, 116 ... 147  Nächste

Alle Zeiten sind UTC + 1 Stunde


Wer ist online?

Mitglieder in diesem Forum: Google [Bot] und 12 Gäste


Du darfst keine neuen Themen in diesem Forum erstellen.
Du darfst keine Antworten zu Themen in diesem Forum erstellen.
Du darfst deine Beiträge in diesem Forum nicht ändern.
Du darfst deine Beiträge in diesem Forum nicht löschen.
Du darfst keine Dateianhänge in diesem Forum erstellen.

Suche nach:
Gehe zu:  
Powered by phpBB® Forum Software © phpBB Group
Deutsche Übersetzung durch phpBB.de